Banca Dati / Numeri
Banca dati prestazioni
 
Accedi
Nome utente:
Password:
Password dimenticata?
Non ancora registrato?
 
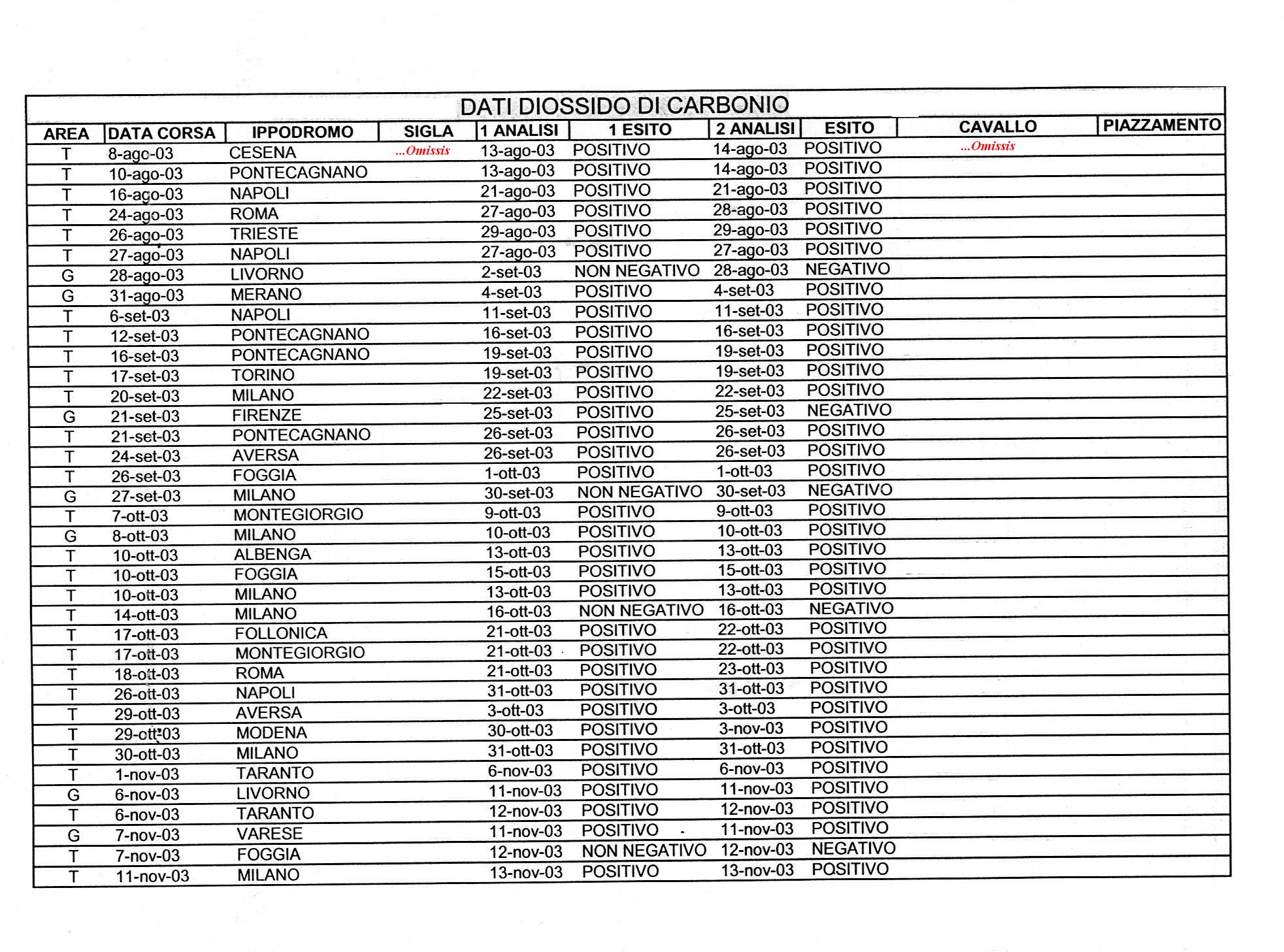
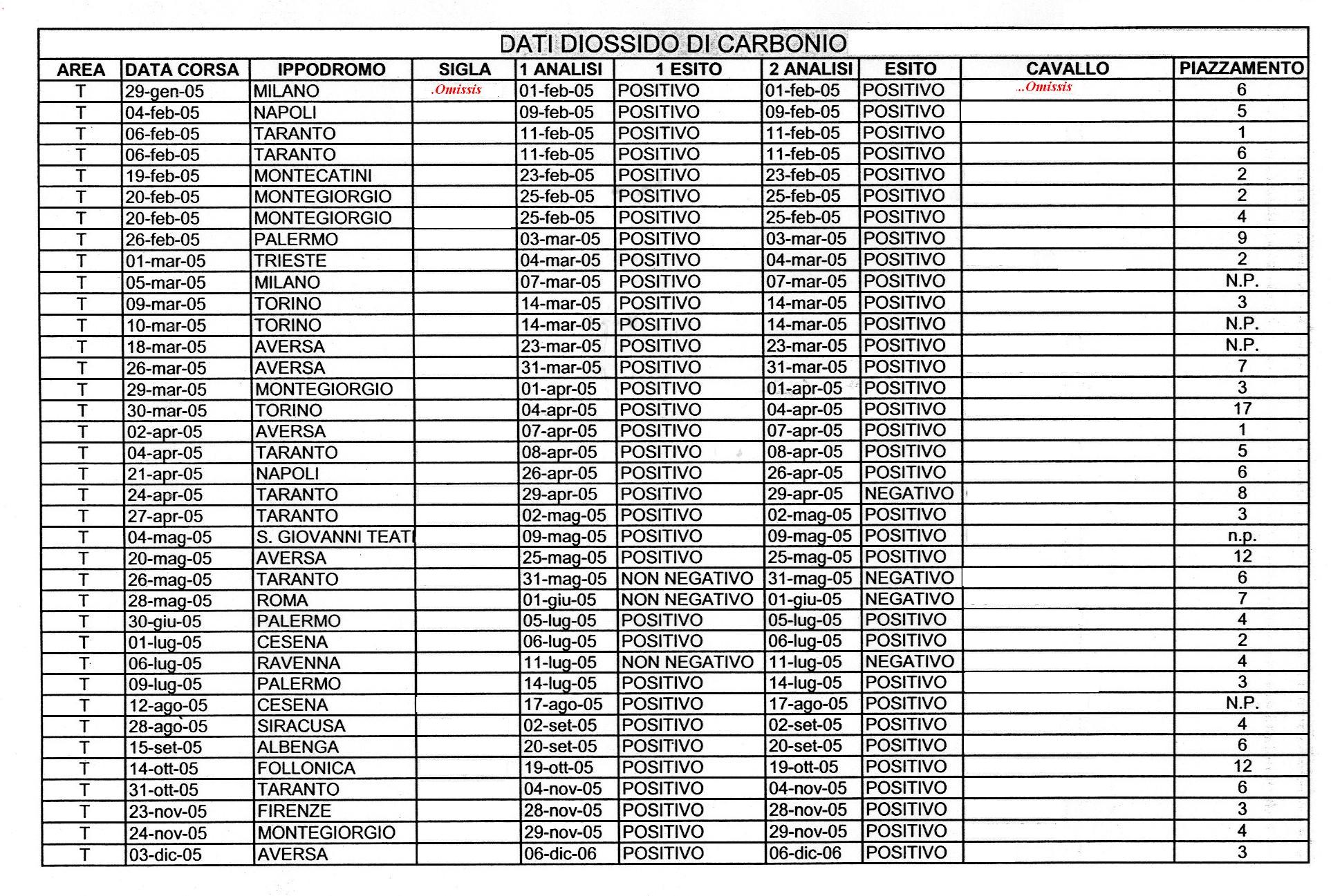
Prima pagina: Elenco casi doping al diossido di carbonio  
Autore: unagt
Pubblicato: 22/6/2006
Letto 2170 volte
Dimensioni 421 bytes
Versione stampabile Segnala ad un amico
 

Pubblichiamo, nei file allegati, l'elenco dei casi di positivitą al diossido di carbonio, dal 8 agosto 2003 al 10 maggio 2006. 244 i casi riscontrati, di cui 192 risultati positivi e 52 negativi alle seconde analisi

 
Allegati per Prima pagina: Elenco casi doping al diossido di carbonio
Tco2 1.jpg <-- Clicca per scaricare
downloads Descrizione del file:
Nessuna descrizione.

downloads 595  Dimensione file 530.50 KB  Tipo del fileimage/jpegInviato: 22/6/2006
Tco2 2.jpg <-- Clicca per scaricare
downloads Descrizione del file:
Nessuna descrizione.

downloads 456  Dimensione file 560.08 KB  Tipo del fileimage/jpegInviato: 22/6/2006
Tco2 3.jpg <-- Clicca per scaricare
downloads Descrizione del file:
Nessuna descrizione.

downloads 461  Dimensione file 578.83 KB  Tipo del fileimage/jpegInviato: 22/6/2006
Tco2 4.jpg <-- Clicca per scaricare
downloads Descrizione del file:
Nessuna descrizione.

downloads 480  Dimensione file 561.61 KB  Tipo del fileimage/jpegInviato: 22/6/2006
Tco2 5.jpg <-- Clicca per scaricare
downloads Descrizione del file:
Nessuna descrizione.

downloads 458  Dimensione file 568.83 KB  Tipo del fileimage/jpegInviato: 22/6/2006
Tco2 6.jpg <-- Clicca per scaricare
downloads Descrizione del file:
Nessuna descrizione.

downloads 450  Dimensione file 576.23 KB  Tipo del fileimage/jpegInviato: 22/6/2006
Tco2 7.jpg <-- Clicca per scaricare
downloads Descrizione del file:
Nessuna descrizione.

downloads 461  Dimensione file 362.54 KB  Tipo del fileimage/jpegInviato: 5/7/2006
Torna alla categoria | Torna all'indice principale
 www.ctech.it : Computer's Technology Srl © 2013 info@ctech.it 
&