Banca Dati / Numeri
Banca dati prestazioni
 
Accedi
Nome utente:
Password:
Password dimenticata?
Non ancora registrato?
 
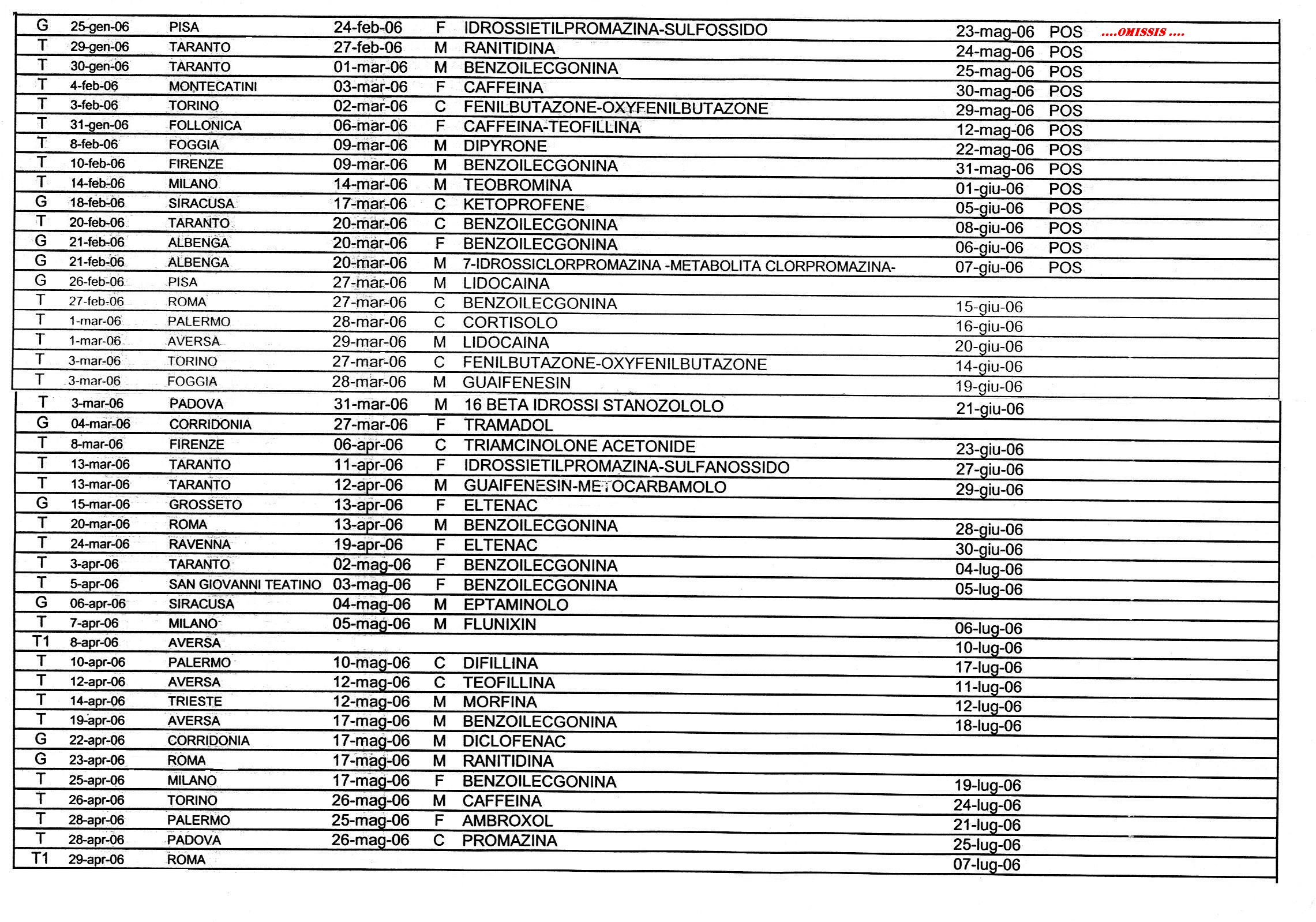
Prima pagina: Elenco casi doping alle sostanze proibite  
Autore: unagt
Pubblicato: 21/6/2006
Letto 2375 volte
Dimensioni 473 bytes
Versione stampabile Segnala ad un amico
 

Pubblichiamo, nei file allegati, l'elenco dei casi di positivitą alle sostanze proibite, dal 16 gennaio 2003 al 25 maggio 2006. 462 i casi riscontrati, di cui 394 risultati positivi, 26 negativi alle seconde analisi e 42 ancora da difinire.

 
Allegati per Prima pagina: Elenco casi doping alle sostanze proibite
Sostanze Proibite 1.jpg <-- Clicca per scaricare
downloads Descrizione del file:
Nessuna descrizione.

downloads 699  Dimensione file 648.58 KB  Tipo del fileimage/jpegInviato: 21/6/2006
Sostanze Proibite 5.jpg <-- Clicca per scaricare
downloads Descrizione del file:
Nessuna descrizione.

downloads 506  Dimensione file 657.17 KB  Tipo del fileimage/jpegInviato: 5/7/2006
Sostanze Proibite 6.jpg <-- Clicca per scaricare
downloads Descrizione del file:
Nessuna descrizione.

downloads 425  Dimensione file 641.10 KB  Tipo del fileimage/jpegInviato: 5/7/2006
Sostanze Proibite 7.jpg <-- Clicca per scaricare
downloads Descrizione del file:
Nessuna descrizione.

downloads 423  Dimensione file 661.78 KB  Tipo del fileimage/jpegInviato: 5/7/2006
Sostanze Proibite 8.jpg <-- Clicca per scaricare
downloads Descrizione del file:
Nessuna descrizione.

downloads 454  Dimensione file 685.54 KB  Tipo del fileimage/jpegInviato: 5/7/2006
Sostanze Proibite 9.jpg <-- Clicca per scaricare
downloads Descrizione del file:
Nessuna descrizione.

downloads 441  Dimensione file 575.03 KB  Tipo del fileimage/jpegInviato: 5/7/2006
Sostanze Proibite 10.jpg <-- Clicca per scaricare
downloads Descrizione del file:
Nessuna descrizione.

downloads 446  Dimensione file 702.17 KB  Tipo del fileimage/jpegInviato: 5/7/2006
Sostanze Proibite 2.jpg <-- Clicca per scaricare
downloads Descrizione del file:
Nessuna descrizione.

downloads 435  Dimensione file 694.47 KB  Tipo del fileimage/jpegInviato: 5/7/2006
Sostanze Proibite 3.jpg <-- Clicca per scaricare
downloads Descrizione del file:
Nessuna descrizione.

downloads 453  Dimensione file 733.47 KB  Tipo del fileimage/jpegInviato: 5/7/2006
Sostanze Proibite 4.jpg <-- Clicca per scaricare
downloads Descrizione del file:
Nessuna descrizione.

downloads 442  Dimensione file 622.65 KB  Tipo del fileimage/jpegInviato: 5/7/2006
Sostanze Proibite 11.jpg <-- Clicca per scaricare
downloads Descrizione del file:
Nessuna descrizione.

downloads 494  Dimensione file 228.49 KB  Tipo del fileimage/jpegInviato: 5/7/2006
Torna alla categoria | Torna all'indice principale
 www.ctech.it : Computer's Technology Srl © 2013 info@ctech.it 
&